Neytendalán eru lánssamningar sem lánveitandi gerir í atvinnuskyni við neytendur.
2. gr.
Eftirtaldir lánssamningar teljast ekki til neytendalána:
1. Lánssamningar sem gilda skemmri tíma en þrjá mánuði.
2. Lánssamningar sem fela í sér endurgreiðslur án vaxta og kostnaðar.
3. Leigusamningar, nema eignarleigusamningar, sbr. lög um eignarleigustarfsemi.
4. Lánssamningar að lægri fjárhæð en 15.000 kr. eða hærri fjárhæð en 1.500.000 kr.
5. Lánssamningar sem tryggðir eru með veði í fasteign.
6. Lánssamningar í formi yfirdráttarheimildar af tékkareikningi.
7. Lánssamningar sem eru gerðir í því skyni að kaupa eða viðhalda fasteignum eða til þess að reisa, endurnýja eða endurbæta byggingu.
Lán sem veitt eru gegn lægra gjaldi en almennt gerist og standa almenningi ekki til boða (vildargjörningar) eru undanþegin ákvæðum laga um neytendalán og reglugerðar þessarar.
Lánssamningur skal gerður skriflega og fela í sér eftirtaldar upplýsingar fyrir neytandann:
1. Höfuðstól, þ.e. lánsfjárhæð án nokkurs kostnaðar.
2. Fjárhæð útborgunar, þ.e. höfuðstól að frádregnum lánskostnaði, miðað við að lánið komið til útborgunar þann dag sem lánssamningurinn er útbúinn.
3. Árlega nafnvexti.
4. Lántökukostnað í krónum að undanskildum þeim liðum sem taldir eru upp í 4. gr.
5. Árlega hlutfallstölu kostnaðar, þ.e. heildarlántökukostnað, lýst sem árlegri prósentu af upphæð höfuðstólsins, sbr. 2. mgr. 5. gr.
6. Heildarupphæð þá sem greiða skal, þ.e. samtölu höfuðstóls, vaxta og lánskostnaðar.
7. Fjölda einstakra greiðslna, fjárhæð þeirra og gjalddaga. Þegar um er að ræða jafngreiðslulán skal getið afborgunar höfuðstóls á hverjum gjalddaga sé án þess að tilgreina nákvæmlega heildargreiðslu allra gjalddaga. Þegar um er að ræða annuitetslán skal getið heildargreiðslu hvers gjalddaga.
8. Gildistíma lánssamnings og skilyrði uppsagnar hans.
9. Efnisatriði 16. gr. um greiðslu fyrir gjalddaga og 17. gr. um framsal kröfuréttinda í lögum um neytendalán.
Ef breyta má lánskostnaði, afborgunum eða öðrum atriðum lánskjara á samningstímanum skal lánveitandi greina neytanda frá því við hvaða aðstæður breytingarnar geta orðið. Ef ekki er unnt að reikna út árlega hlutfallstölu kostnaðar skal lánveitandi þess í stað skýra neytanda frá því hverjir árlegir nafnvextir eru, hvaða gjöld falla á lánið og við hvaða aðstæður breytingarnar geti orðið.
Þegar lánssamningur er gerður skulu eftirtaldar upplýsingar liggja fyrir í lánssamningnum sjálfum eða á sérstöku blaði:
Kostnaður vegna vanskila.
Kostnaður sem neytandi greiðir við kaup á lausafé eða þjónustu, hvort heldur kaupin fara fram gegn staðgreiðslu eða samkvæmt lánssamningi.
Kostnaður vegna yfirfærslu fjár.
Kostnaður vegna viðskiptareiknings sem ætlað er að taka við afborgunum af láninu að undanskildum kostnaði við innheimtu endurgreiðslna, hvort heldur um er að ræða staðgreiðslu eða annað greiðslufyrirkomulag.
Félagsgjöld sem rekja má til samninga sem ekki tengjast lánssamningnum, jafnvel þótt þau hafi áhrif á lánsskilmála.
Kostnaður vegna trygginga eða ábyrgða nema þær eigi að tryggja lánveitanda endurgreiðslu lánsins.
Árleg hlutfallstala kostnaðar er tala sem svarar til núvirðis allra skuldbindinga (lána, endurgreiðslna og kostnaðar) er til kann að koma eða þegar eru fyrir hendi og lánveitandi og neytandi hafa samið um. Hlutfallstalan skal reiknuð út í samræmi við eftirfarandi stærðfræðilíkingu
Merking stafa og tákna:
Athugasemdir:
a)Fjárhæð sem báðir aðilar greiða á mismunandi tímum þarf ekki nauðsynlega að vera jafnhá og endurgreiðist ekki nauðsynlega með jöfnu millibili.
Upphafsdagsetning er dagsetning fyrsta lánsins.
Tíminn milli dagsetninga sem notaðar eru við útreikningana skal gefinn í árum og hluta úr ári.
Dæmi um útreikninga eru birt í fylgiskjali með reglugerð þessari.
Brot á reglugerð þessari getur valdið skaðabótaskyldu í samræmi við almennar reglur skaðabótaréttar.
Gera má lögaðila að greiða bætur þó svo að sök sannist ekki á neinn tiltekinn starfsmann lögaðilans ef sýnt þykir að einhver starfsmaður lögaðilans hafi gerst brotlegur við ákvæði reglugerðarinnar.
Bætur, sem dæmdar verða, sbr. 1. mgr., má innheimta hjá þeim einstaklingi sem dæmdur er bótaskyldur eða lögaðila þeim sem hann starfaði hjá þegar brotið var framið.
Samkeppnisstofnun hefur eftirlit með því í umboði viðskiptaráðherra að ákvæði reglugerðar þessarar séu virt, m.a. að töflur og reikniforrit sem notuð eru til að reikna út árlega hlutfallstölu kostnaður sýni rétta niðurstöðu.
Reglugerð þessi, sem sett er samkvæmt heimild í 10., 21. og 22. gr. laga nr. 30/1993, um neytendalán, öðlast gildi 1. október 1993.
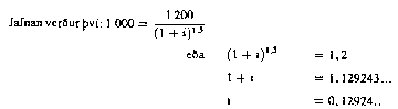
Lánsfjárhæð S = 1 000 ECU.
Hún endurgreiðist með einni greiðslu sem nemur 1 200 ECU 18 mánuðum eða 1 1/2 ári eftir dagsetningu lánsins.

Fjárhæð þessi verður lækkuð niður í 12,9 % eða 12,92 % eftir því hvort heimilt er að jafna hundraðshluta með einum eða fleiri aukastöfum samkvæmt landslögum eða venju.
Annað dæmi
Samþykkt fjárhæð er S = 1 000 ECU en lánveitandi dregur 50 ECU frá kostnaði vegna umsýslan og stjórnunar þannig að lánsfjárhæðin er í raun 950 ECU; 1 200 ECU greiðast til baka, eins og í fyrsta dæminu, 18 mánuðum frá dagsetningu lánsins.

Þriðja dæmi
Lánsfjárhæðin er 1 000 ECU sem greiðist til baka með tveimur greiðslum sem nema 600 ECU hvor, önnur er eftir eitt ár, hin eftir tvö.

Hún er leyst með algebru og gefur niðurstöðuna i = 0,1306623, hækkuð í 13,1 % eða 13,07 %.
Fjórða dæmi
Lánsfjárhæðin er 1 000 ECU og Fárhæðirnar sem lántakandi þarf að greiða eru:
Eftir þrjá mánuði (0,25 ár) 272 ECU
Eftir sex mánuði (0,50 ár) 272 ECU
Eftir tólf mánuði (1 ár) 544 ECU
Alls 1 088 ECU
Jafnan verður því:

Með þessari jöfnu er hægt að reikna i með endurteknum nálgunum sem má forrita á vasareiknivél.
Niðurstaðan er:
i = 0, 1321 jöfnuð í 13,2 eða 13,21 %.
Sölugengi ECU 11/6 92 er kr. - 73.9916.